|
Evolution de la force (divisée par la force de Stokes) en fonction du nombre de Knudsen Comparaison entre l'expression proposée et des lois classiques |
|
|
|
Les calculs sont effectués pour S = 0,01, c'est-à-dire à nombre de Mach (basé sur la vitesse relative) faible. Lorsque le nombre de Knudsen s'élève (régime raréfié), la loi proposée (27) tend bien vers la loi en régime moléculaire libre (4). Lorsque Kn tend vers 0 (régime continu) à S constant, le nombre de Reynolds s'accroît (puisque Kn ~ S/Re). La loi alors valable sera plutôt celle de Schiller et Nauman (3) que celle de Stokes qui n'est valable que pour Re<<1. La loi proposée tend vers celle de Schiller et Nauman en régime continu. |
.
|
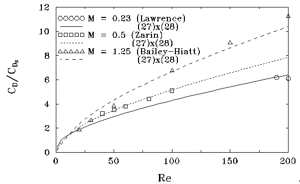
Evolution du coefficient de traînée (divisé par celui de Stokes) en fonction du nombre de Reynolds Comparaison entre l'expression proposée et des résultats expérimentaux |
|
|
|
La comparaison avec des résultats expérimentaux montre que l'expression est valide jusqu'à des nombres de Mach (relatifs) voisins de 1. |
.