|
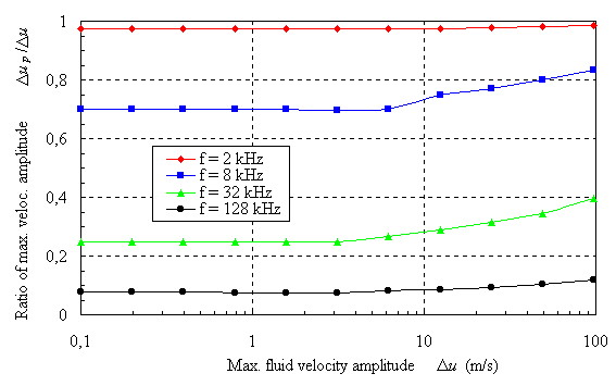
Rapport des amplitudes maximales des vitesses en fonction de l'amplitude maximale de vitesse de l'écoulement |
rp = 1050 kg/m3 , r = 1.22 kg/m3 , r = 1 mm |
|
|
Contrairement à ce que l'on pourrait penser, plus l'amplitude des fluctuations de vitesse augmentent et plus les particules sont capables de les restituer. En effet, les particules sont soumises dans ce cas à des vitesses relatives importantes et la force de traînée subit alors une augmentation proportionnellement plus élevée. La figure montre une augmentation du rapport Dup/Du pour des valeurs de Du supérieures à 5 m/s (dans les conditions indiquées ci-dessus). Pour les faibles fréquences (ici f = 2 kHz) les deux vitesses sont égales et il n'y a plus d'augmentation possible. Pour les fréquences élevées (ici f = 128 kHz) l'augmentation existe mais reste faible, les particles ayant tendance à ne pas ressentir les fluctuations de vitesse. |
.